VANCOUVER, CANADA – January 11, 2023: Sitka Gold Corp. (“Sitka” or the “Company”) (CSE:SIG) (FSE:1RF) (OTCQB:SITKF) is pleased to release assay results for the final drill holes of the 2022 diamond drill program completed at the Company’s district-scale RC Gold Project (“RC Gold” or the “Project”), a 376 square kilometre contiguous land package with year-round road access located in the heart of Yukon’s Tombstone Gold Belt (TGB).
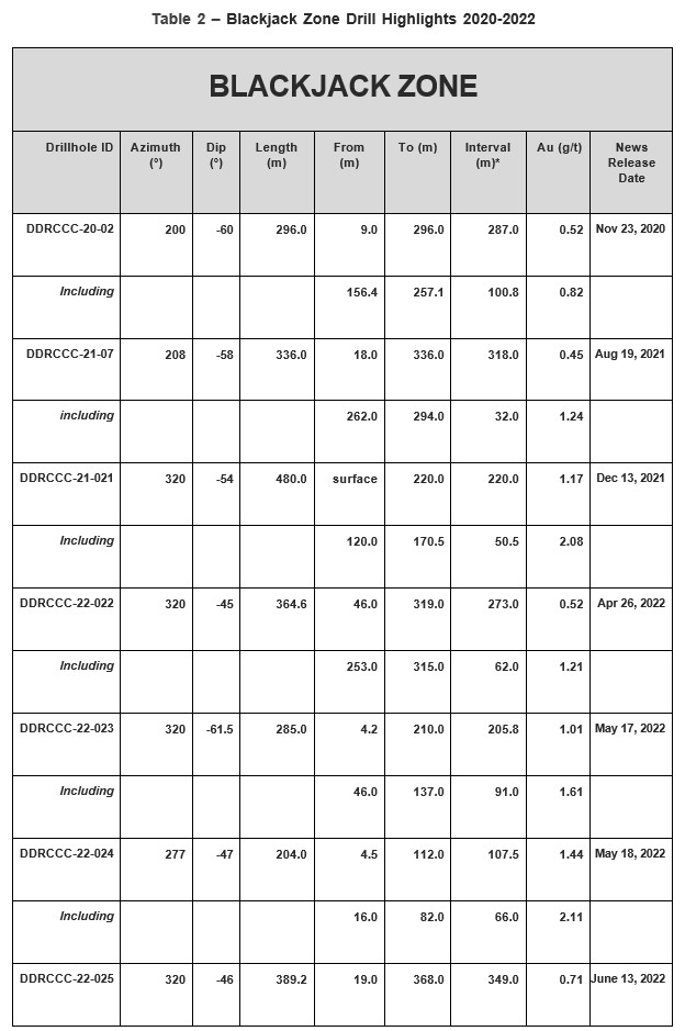
Gold assay highlights from this new release include:
- 201.0 m of 1.26 g/t Au from surface in DDRCCC-22-040, including
- 82.0 m of 2.04 g/t Au from surface including;
- 19.5 m of 4.87 g/t Au from surface including;
- 2.0 m of 31.20 g/t Au from 16.0 m
- 10.0 m of 0.60 g/t Au from 357.0 m in DDRCCC-22-039 and
- 12.0 m of 0.52 g/t Au from 336.0 m and
- 3.0 m of 0.97 g/t Au from 458.0 m
Cor Coe, P.Geo., CEO and Director of Sitka commented, “The 2022 step-out drilling at RC Gold was extremely rewarding for Sitka with the results of these latest drill holes highlighting the tremendous potential of the Blackjack zone, which was just discovered in December, 2021. DDRCCC-22-040 is one of the best holes we have drilled to date at RC Gold with the entire 201.0 metre length averaging 1.26 g/t gold including 82.0 m grading 2.04 g/t gold and 19.5 m of 4.87 g/t Au from the casing at surface. Several other impressive intervals including 2 metres of 31.20 g/t gold were encountered throughout the hole which also contained visible gold (see Figure 3 and Table 1). Our winter and summer diamond drilling programs last year were successful in demonstrating the continuity of strong and persistent gold mineralization throughout the Blackjack zone, which remains open in all directions. With the potential to also link gold mineralization for up to 2 kilometres across both the Saddle and Eiger Zones (see Figure 1), we are eager to aggressively add potential tonnage and unlock additional value with continued exploration at our quickly evolving, district scale and road accessible RC Gold Project.”
Drilling to date at the RC Gold Project has produced long intercepts with significant gold grades, as highlighted by Hole 40 (see Table 1), and has confirmed the continuity of significant and persistent gold mineralization within the Blackjack zone to surface, which remains open in all directions and demonstrates significantly higher grades of gold mineralization within the intrusion host rock. The majority of drilling to date at RC Gold was designed to provide the spatial requirements necessary to estimate an initial resource.
The Company is planning a two part, winter and summer drilling program totaling 10,000 metres of diamond drilling at RC Gold for 2023 focused primarily in the Blackjack, Saddle and Eiger zone areas.

Figure 1 – 2020 – 2022 drilling in the Blackjack, Saddle and Eiger zones





Figure 2 – Plan Map of Diamond Drill Holes at the Blackjack Zone
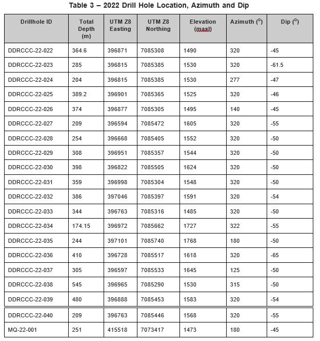
Drillhole DDRCCC-22-039 collared into metasedimentary country rock to the northeast of the main Saddle intrusive host rock at the Blackjack zone at an azimuth of 320 degrees. The hole intersected a thick sequence of metasediments interspersed with intrusive dikes and sills to a depth of 279 metres before crossing into the main Saddle intrusive. Sporadic gold mineralization associated with sheeted-style quartz veining was encountered throughout the hole to a depth of 480 metres with the best zones developed within the intrusive host rocks.
Drillhole DDRCCC-22-040 was drilled on section between holes DDRCCC-22-036 to the northwest and DDRCCC-21-021 to the southeast at an azimuth of 320 degrees. The hole collared and remained in the main multiphase-intrusive host rock at the Blackjack zone for its entire length to a depth of 209 metres. The hole encountered significant sheeted-style quartz veining associated with gold mineralization. Higher grade zones were observed occurring in or adjacent to structural zones defined by late and post mineral intrusive phases, and areas with abundant metasedimentary rock inclusions.

Figure 3 – Cross Section of Hole DDRCCC-22-040
2022 drilling was designed to further expand the Blackjack Zone and provide Sitka geologists with a solid database of drilling data to understand controls on mineralization observed in both intrusive and metasedimentary host rocks while also potentially providing the necessary spatial density to generate an initial resource estimate. Assay results from drilling along with structural information obtained from oriented drilling, data from detailed core logging, reprocessed Lidar data and interpretation of an airborne magnetic geophysical survey will form the basis for planning of the 2023 drilling program.

Figure 4 – Visible Gold in DDRCCC-22-039 at 417.25 m and DDRCCC-040 at 58.1 m

The May-Qu target located approximately 22 km southeast of the Blackjack zone was tested with a single helicopter supported drill hole. The May-Qu target is a gold-in-soil geochemical anomaly within and adjacent to a Tombstone Suite intrusion. Drillhole MQ-22-001, drilled at an azimuth of 180 degrees with a -45 degree dip, was collared and remained in granite of the Bos Stock for the entire length of the hole to 251 metres depth. Narrow, sheeted-style quartz veining with accessory arsenopyrite, pyrrhotite, chalcopyrite, molybdenite and scheelite were observed throughout the hole supporting the intrusion-related gold system model Sitka employed during exploration of the target. Several anomalous intersections of gold were encountered with the best result being a two metre interval of 0.74 g/t gold.
Quality Assurance/Quality Control
On receipt from the drill site, the HQ-sized drill core was systematically logged for geological attributes, photographed and sampled at Sitka’s 2022 field camp. Sample lengths as small as 0.3 m were used to isolate features of interest, otherwise a default 2 m downhole sample length was used. Core was cut in half lengthwise along a predetermined line, with one-half (same half, consistently) collected for analysis and one-half stored as a record. Standard reference materials, blanks and duplicate samples were inserted by Sitka personnel at regular intervals into the sample stream. Bagged samples were placed in secure bins to ensure integrity during transport. They were delivered by Sitka personnel or a contract expeditor to ALS Laboratories’ preparatory facility in Whitehorse, Yukon, with analyses completed in North Vancouver.
ALS is accredited to ISO 17025:2005 UKAS ref. 4028 for its laboratory analysis. Samples were crushed by ALS to over 70 per cent passing below two millimetres and split using a riffle splitter. One-thousand-gram splits were pulverized to over 85 per cent passing below 75 microns. Gold determinations are by fire assay with an inductively coupled plasma mass spectroscopy (ICP-MS) finish on 50 g subsamples of the prepared pulp (ALS code: Au-ICP-22). Any sample returning over 10 g/t Au was re-analyzed by fire assay with a gravimetric finish on a 50 g subsample (ALS code: Au-GRA21). In addition, a 51-element analysis was performed on a 0.5 g subsample of the prepared pulps by an aqua regia digestion followed by an inductively coupled plasma mass spectroscopy (ICP-MS) finish (ALS code: ME-MS41).
About the RC Gold Project
The RC Gold Project consists of a 376 square kilometre contiguous district-scale land package located in the newly road accessible Clear Creek, Big Creek, and Sprague Creek districts in the heart of Yukon’s Tombstone Gold Belt. It is the largest consolidated land package strategically positioned mid-way between Victoria Gold’s Eagle Gold Mine – Yukon’s newest gold mine which reached commercial production in the summer of 2020 – and Sabre Gold Mine’s Brewery Creek Gold Mine. The RC Gold Project land package comprises five underlying properties, namely, the RC, Bee Bop, Mahtin, Clear Creek, and Barney Ridge properties*. The Company recently identified a large 500 m by 2000 m intrusion related gold system on the Property between the Blackjack, Saddle and Eiger zones and to date has drilled 38 diamond drill holes into this system for a total of approximately 13,000 metres. This has been the main focus of the Company’s drill programs at RC Gold in 2020, 2021 and 2022 which have returned several significant gold intercepts. including the discovery hole in the Blackjack zone in the last drill hole from the 2021 drill program, DDRCCC-21-021 (“Hole 21”). Hole 21 intersected 220.1 m of 1.17 g/t gold from surface that included 50.5 m of 2.08 g/t gold. Hole 21 was the westernmost hole drilled in the Saddle-Eiger trend and was drilled under a greater than 500 ppb gold-in-soil anomaly that was previously identified on surface. This gold-in-soil anomaly is part of the larger 2 kilometre by 500 m gold-in-soil anomaly that stretches from the Saddle Zone to the Eiger Zone and is open in all directions. Drilling in 2021 in the Eiger Zone in the easternmost area of the gold-in-soil anomaly has produced numerous significant intersections as demonstrated by Hole 9 which intersected 354 m of 0.41 g/t Au including 72 m of 0.72 g/t Au (see news release dated August 19, 2021).
Sitka Gold inherited a wealth of historical and current data from these properties from work spanning the last 40 years. Recent exploration work and the compilation of historical data have defined several mineralized zones with both bulk tonnage, intrusion-related gold deposit targets and high-grade, vein- and breccia-hosted gold targets. The RC Gold Project also has a common border with Victoria Gold’s Clear Creek property at its western boundary and Florin Resources’ Florin Gold property at its northern boundary.
*For more detailed information on the underlying properties please visit our website at www.sitkagoldcorp.com.
Deposit Model
Exploration on the Property has mainly focused on identifying an intrusion-related gold system (“IRGS”). The property is part of the Tombstone Gold Belt which is the prominent host to IRGS deposits within the Tintina Gold Province in Yukon and Alaska. Notable deposits from the belt include: Fort Knox Mine in Alaska with current Proven and Probable Reserves of 230 million tonnes at 0.3 g/t Au (2.471 million ounces; Sims 2018)(1); Eagle Gold Mine with current Proven and Probable Reserves of 155 million tonnes at a diluted grade of 0.65 g/t Au at the Eagle and Olive deposits (3.261 million ounces; Goodwin et al. 2019)(2); the Brewery Creek deposit with current Indicated Mineral Resource of 22.2 million tonnes at a gold grade of 1.11 g/t (0.789 million ounces; Hulse et al. 2020)(3); the Florin Gold deposit, located adjacent to Sitka’s RC Gold project, with a current Inferred Mineral Resource of 170.99 million tonnes grading 0.45 g/t (2.47 million ounces; Simpson 2021)(4) and the AurMac Project with an Inferred Mineral Resource of 207.0 million tonnes grading 0.60 gram per tonne gold (3.99 millon ounces; Jutras 2022)(5).
- Sims J. Fort Knox Mine Fairbanks North Star Borough, Alaska, USA National Instrument 43-101 Technical Report. June 11, 2018. https://s2.q4cdn.com/496390694/files/doc_downloads/2018/Fort-Knox-June-2018-Technical-Report.pdf
- Goodwin R, Gray P, Jutras M, Tang S, Wilbur S. Technical Report for the Eagle Gold Mine, Yukon Territory, Canada. JDS Energy & Mining Inc. December 6, 2019. https://vitgoldcorp.com/site/assets/files/6480/jds-vit-eagle-gold-ni-43-101-fs-report-20191206.pdf
- Hulse D, Emanuel C, Cook C. NI43-101 Technical Report on Mineral Resources. Gustavson Associates. May 31, 2020. https://www.goldenpredator.com/_resources/Brewery-Creek_NI-43-101-05OCT2020-File.pdf
- Simpson R. Florin Gold Project NI43-101 Technical Report. Geosim Services Inc. April 21, 2021. https://sedar.com/GetFile.do?lang=EN&docClass=24&issuerNo=00005795&issuerType=03&projectNo=03236138&docId=4984158
- Banyan Gold News Release Dated May 17, 2022 (Technical Report to be filed within 45 days of news release) https://www.banyangold.com/news-releases/2022/banyan-announces-4-million-ounce-gold-mineral-resource-estimate-for-the-aurmac-property-yukon-canada/
Upcoming Events
Sitka Gold will be attending and/or presenting at the following events:
- Roundup, Vancouver, BC: January 23 – 26, 2023 (Coreshack Booth #925, January 23rd and 24th)
- Vancouver Resource Investment Conference: January 29 – 30, 2023 (Booth #123)
- CEM Whistler Capital Event, Whistler, BC: February 10 – 12, 2023
- PDAC, Toronto, Ontario: March 5 – 8, 2023 (Booth #2346)
All events are subject to change.
About Sitka Gold Corp.
Sitka Gold Corp. is a well-funded mineral exploration company headquartered in Canada. The Company is managed by a team of experienced industry professionals and is focused on exploring for economically viable mineral deposits with its primary emphasis on gold, silver and copper mineral properties of merit. Sitka currently has an option to acquire a 100% interest in the RC, Barney Ridge, Clear Creek and OGI properties in the Yukon and the Burro Creek Gold property in Arizona. Sitka owns a 100% interest in its Alpha Gold property in Nevada, its Mahtin Gold property in the Yukon and its Coppermine River project in Nunavut.
Sitka has now received all assay results from its 2022 diamond drill program at its RC Gold Project in the Yukon. Results from the final two drill holes at the Company’s Alpha Gold Property in Nevada where a new Carlin-type gold system was recently discovered are expected shortly. The Company is focused on vectoring towards the high-grade core of this newly discovered system which is located along the projection of the Cortez Trend approximately 40 km southwest of the Cortez Mine Complex owned by Barrick and Newmont.
The scientific and technical content of this news release has been reviewed and approved by Cor Coe, P.Geo., Director and CEO of the Company, and a Qualified Person (QP) as defined by National Instrument 43-101.
ON BEHALF OF THE BOARD OF DIRECTORS OF
SITKA GOLD CORP.
“Donald Penner”
President and Director
For more information contact:
Donald Penner
President & Director
778-212-1950
[email protected]
or
Cor Coe
CEO & Director
604-817-4753
[email protected]
Cautionary and Forward-Looking Statements
This news release contains forward-looking statements and forward looking information within the meaning of applicable securities laws. These statements relate to future events or future performance. All statements other than statements of historical fact may be forward-looking statements or information. Forward-looking statements and information are often, but not always, identified by the use of words such as “appear”, “seek”, “anticipate”, “plan”, “continue”, “estimate”, “approximate”, “expect”, “may”, “will”, “project”, “predict”, “potential”, “targeting”, “intend”, “could”, “might”, “should”, “believe”, “would” and similar expressions.
Forward-looking statements and information are provided for the purpose of providing information about the current expectations and plans of management of the Company relating to the future. Readers are cautioned that reliance on such statements and information may not be appropriate for other purposes, such as making investment decisions. Since forward-looking statements and information address future events and conditions, by their very nature they involve inherent risks and uncertainties. Actual results could differ materially from those currently anticipated due to a number of factors and risks. These include, but are not limited to, the expected timing and terms of the private placement, use of proceeds, anticipated work program, required approvals in connection with the work program and the ability to obtain such approvals. Accordingly, readers should not place undue reliance on the forward-looking statements, timelines and information contained in this news release. Readers are cautioned that the foregoing list of factors is not exhaustive.
The forward-looking statements and information contained in this news release are made as of the date of this news release and no undertaking is given to update publicly or revise any forward-looking statements or information, whether as a result of new information, future events or otherwise, unless so required by applicable securities laws or the CSE. The forward-looking statements or information contained in this news release are expressly qualified by this cautionary statement.
Neither the CSE nor its Regulation Services Provider (as that term is defined in the policies of the CSE) accepts responsibility for the adequacy or accuracy of this release. No stock exchange, securities commission or other regulatory authority has approved or disapproved the information contained herein.
